
這邊文章比較跳tone
但是個人想先教投注觀念會比較好。
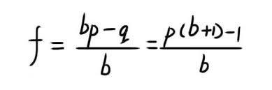
上面的公式就是俗稱的 凱利公式。
f 是你應該要投入的資金比例,
p 是這場比賽的勝率,而q 則是這場比賽的失敗率(1-b)
b則是賠率假如付了1塊錢而你贏了你的錢變成1.95塊,則賠率為0.95。
然而這個公式我們經過化簡可以變成: f=勝率 - 失敗率/賠率,
當我們帶入平常均值的6成勝率及常見的0.90賠率下去計算
f = 0.6 - 0.4/0.90 =0.6 - 0.444 =0.155
意思就是說照凱利公式得出目前賽事狀態每注應投入資金15.5%下注。
隔天贏了一樣15.5%下注
隔天輸了一樣15.5%下注。
這種下注的優點是在持續失敗時可以適當的降低風險,以及避免破產問題。
反之在持續獲利時可以增加獲利,
切記一點這種下注方式是連續的並不是同時的。今天有3注要下不是每注15.5%。
如果自認風險太大可以半凱利或0.75凱利自行抉擇。
再來是賠率問題
很多人會問一場比賽230大 賠0.9跟231大 賠1.1
哪個會比較好 ?
那我們一樣帶入公式當我們不賺不虧時他們所要達到的勝率為多少
賠0.9 / (p - (1-P)/0.9) >0 =2.11p-1.11 >0 p=52.65% 時則不賺不虧
賠1.1 / (p - (1-P)/1.1) >0 =1.909p-0.909 >0 P=47.61% 時則不賺不虧
以主觀來說賠1.1會是比較優勢的選擇
只要勝率維持47.61%就能跟莊家打平
而賠0.9則是需要52.65%。
但是有些比賽會容易進洞則是要比較注意
如果要投注這類的比賽請盡量避免選在這個區間,
這時候也會討論到莊家開盤抽水的概念,
之後的文章會更深入,
盤口分析部分的概念會留給全享的會員,
教會員們如何看盤看牌及討論,
讓各位自己下注時也不會輸錢。
留言列表